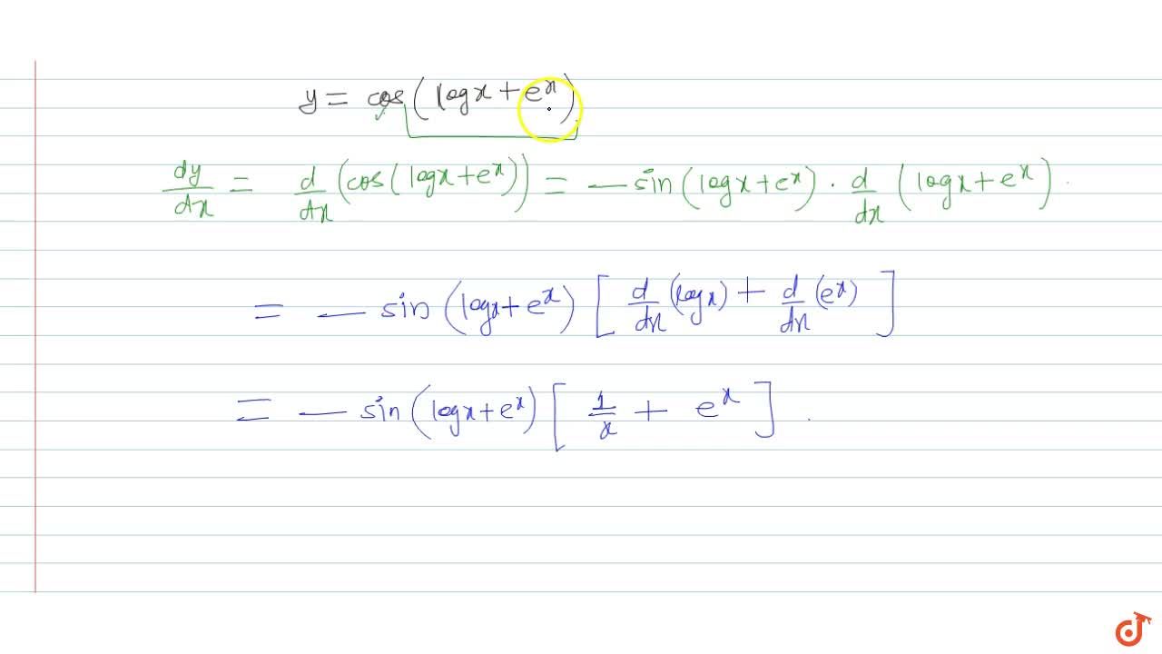
√ find dy/dx if y=cos(log x+e^x) x 0 192903-Differentiate log x cos x
Differentiation Ex 1 1 Q 2 Maharashtra State Board Mathematics And Statistic For Arts And Science
Calculus 1 Answer Epsilon Explanation please see the image file to explanation Answer link Related questions How do I determine the molecular shape of a molecule?Find dy/dx y=e^ (cos (x)) y = ecos(x) y = e cos ( x) Differentiate both sides of the equation d dx (y) = d dx (ecos(x)) d d x ( y) = d d x ( e cos ( x)) The derivative of y y with respect to x x is y' y ′ y' y ′ Differentiate the right side of the equation Tap for more steps Differentiate using the chain rule, which states that d d x
Differentiate log x cos x
Differentiate log x cos x- find the derivative of f given by f x is equal to Sin inverse X assuming it exist Kindly solve the question Please answer this question if x = sin 3 t/(cos 2t) 1/2, y = cos 3 t/(cos 2t) 1/2, find dy/dx explain in great detail 619 unscientific said That makes absolute sense If a function is zero for all x,y then the infinitesimal change df would be 0 for all x,y In this problem you shouldn't think of f as identically 0 Here's an example to think about Suppose y=x (defining a curve) Take f (x,y)=x^2y^2 Then f (x,y)=0 along the line y=x, but f (x,y) is not
Maharashtra Board 12th Maths Solutions Chapter 1 Differentiation Miscellaneous Exercise 1 Maharashtra Board Solutions
1 Answer 2 votes answered by Rubby01 (503k points) selected by Pankaj01 Best answer Let y = (log x)cosx ⇒ log y = cos x log (logx) ⇒ d/dx log y = d/dx cos x log (log x) Please log in or register to add a commentDifferentiating (1) with respect to x, dy/dx = d/dx (y) = d/dx (x) The function to be differentiated is x which is of the form x^n and is of standard type It's derivative or differential coefficient is nx^ (n1) In the present problem, n=1 Therefore, dy/dx = 1x^ (1–1) = x^0Now integrating both sides of the equation (i), we have ∫ e y d y = ∫ e x d x Using the formulas of integration ∫ e x d x = e x , we get e y = e x c ⇒ y = ln ( e x c) This is the required solution of the given differential equation ⇐ Solve the Differential Equation dy/dx=xy^2
Neither the real function nor accordingly its derivative can be defined When the function itself cannot be defined its derivative by implicit differentiation is meaningless 1 for the correct answer You might consider showing the analysis behind the observation that xContact Pro Premium Expert Support » Give us your feedback »Calculus Find dy/dx y = natural log of cos (x) y = ln (cos(x)) y = ln ( cos ( x)) Differentiate both sides of the equation d dx (y) = d dx (ln(cos(x))) d d x ( y) = d d x ( ln ( cos ( x))) The derivative of y y with respect to x x is y' y ′ y' y ′ Differentiate the
Differentiate log x cos xのギャラリー
各画像をクリックすると、ダウンロードまたは拡大表示できます
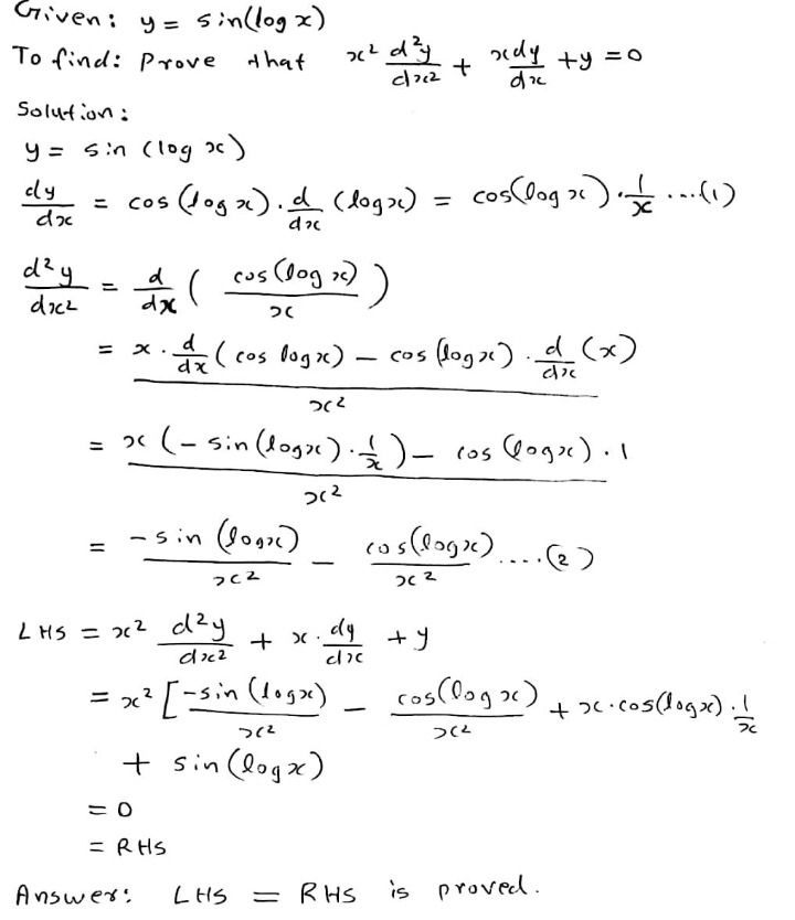
If Y Sin Log X Then Prove That X 2 D 2y Dx 2 Dy Dx Y 0 Sarthaks Econnect Largest Online Education Community | ![]() If Y Sin Log X Then Prove That X 2 D 2y Dx 2 Dy Dx Y 0 Sarthaks Econnect Largest Online Education Community | If Y Sin Log X Then Prove That X 2 D 2y Dx 2 Dy Dx Y 0 Sarthaks Econnect Largest Online Education Community |
![]() If Y Sin Log X Then Prove That X 2 D 2y Dx 2 Dy Dx Y 0 Sarthaks Econnect Largest Online Education Community | If Y Sin Log X Then Prove That X 2 D 2y Dx 2 Dy Dx Y 0 Sarthaks Econnect Largest Online Education Community | If Y Sin Log X Then Prove That X 2 D 2y Dx 2 Dy Dx Y 0 Sarthaks Econnect Largest Online Education Community |
![]() If Y Sin Log X Then Prove That X 2 D 2y Dx 2 Dy Dx Y 0 Sarthaks Econnect Largest Online Education Community | If Y Sin Log X Then Prove That X 2 D 2y Dx 2 Dy Dx Y 0 Sarthaks Econnect Largest Online Education Community | ![]() If Y Sin Log X Then Prove That X 2 D 2y Dx 2 Dy Dx Y 0 Sarthaks Econnect Largest Online Education Community |
「Differentiate log x cos x」の画像ギャラリー、詳細は各画像をクリックしてください。
![]() If Y Sin Log X Then Prove That X 2 D 2y Dx 2 Dy Dx Y 0 Sarthaks Econnect Largest Online Education Community | ![]() If Y Sin Log X Then Prove That X 2 D 2y Dx 2 Dy Dx Y 0 Sarthaks Econnect Largest Online Education Community | ![]() If Y Sin Log X Then Prove That X 2 D 2y Dx 2 Dy Dx Y 0 Sarthaks Econnect Largest Online Education Community |
![]() If Y Sin Log X Then Prove That X 2 D 2y Dx 2 Dy Dx Y 0 Sarthaks Econnect Largest Online Education Community | If Y Sin Log X Then Prove That X 2 D 2y Dx 2 Dy Dx Y 0 Sarthaks Econnect Largest Online Education Community | If Y Sin Log X Then Prove That X 2 D 2y Dx 2 Dy Dx Y 0 Sarthaks Econnect Largest Online Education Community |
![]() If Y Sin Log X Then Prove That X 2 D 2y Dx 2 Dy Dx Y 0 Sarthaks Econnect Largest Online Education Community | ![]() If Y Sin Log X Then Prove That X 2 D 2y Dx 2 Dy Dx Y 0 Sarthaks Econnect Largest Online Education Community | If Y Sin Log X Then Prove That X 2 D 2y Dx 2 Dy Dx Y 0 Sarthaks Econnect Largest Online Education Community |
「Differentiate log x cos x」の画像ギャラリー、詳細は各画像をクリックしてください。
![]() If Y Sin Log X Then Prove That X 2 D 2y Dx 2 Dy Dx Y 0 Sarthaks Econnect Largest Online Education Community | ![]() If Y Sin Log X Then Prove That X 2 D 2y Dx 2 Dy Dx Y 0 Sarthaks Econnect Largest Online Education Community | ![]() If Y Sin Log X Then Prove That X 2 D 2y Dx 2 Dy Dx Y 0 Sarthaks Econnect Largest Online Education Community |
![]() If Y Sin Log X Then Prove That X 2 D 2y Dx 2 Dy Dx Y 0 Sarthaks Econnect Largest Online Education Community | ![]() If Y Sin Log X Then Prove That X 2 D 2y Dx 2 Dy Dx Y 0 Sarthaks Econnect Largest Online Education Community | ![]() If Y Sin Log X Then Prove That X 2 D 2y Dx 2 Dy Dx Y 0 Sarthaks Econnect Largest Online Education Community |
![]() If Y Sin Log X Then Prove That X 2 D 2y Dx 2 Dy Dx Y 0 Sarthaks Econnect Largest Online Education Community | ![]() If Y Sin Log X Then Prove That X 2 D 2y Dx 2 Dy Dx Y 0 Sarthaks Econnect Largest Online Education Community | If Y Sin Log X Then Prove That X 2 D 2y Dx 2 Dy Dx Y 0 Sarthaks Econnect Largest Online Education Community |
「Differentiate log x cos x」の画像ギャラリー、詳細は各画像をクリックしてください。
![]() If Y Sin Log X Then Prove That X 2 D 2y Dx 2 Dy Dx Y 0 Sarthaks Econnect Largest Online Education Community | ![]() If Y Sin Log X Then Prove That X 2 D 2y Dx 2 Dy Dx Y 0 Sarthaks Econnect Largest Online Education Community | ![]() If Y Sin Log X Then Prove That X 2 D 2y Dx 2 Dy Dx Y 0 Sarthaks Econnect Largest Online Education Community |
![]() If Y Sin Log X Then Prove That X 2 D 2y Dx 2 Dy Dx Y 0 Sarthaks Econnect Largest Online Education Community | If Y Sin Log X Then Prove That X 2 D 2y Dx 2 Dy Dx Y 0 Sarthaks Econnect Largest Online Education Community | ![]() If Y Sin Log X Then Prove That X 2 D 2y Dx 2 Dy Dx Y 0 Sarthaks Econnect Largest Online Education Community |
![]() If Y Sin Log X Then Prove That X 2 D 2y Dx 2 Dy Dx Y 0 Sarthaks Econnect Largest Online Education Community | ![]() If Y Sin Log X Then Prove That X 2 D 2y Dx 2 Dy Dx Y 0 Sarthaks Econnect Largest Online Education Community | ![]() If Y Sin Log X Then Prove That X 2 D 2y Dx 2 Dy Dx Y 0 Sarthaks Econnect Largest Online Education Community |
「Differentiate log x cos x」の画像ギャラリー、詳細は各画像をクリックしてください。
![]() If Y Sin Log X Then Prove That X 2 D 2y Dx 2 Dy Dx Y 0 Sarthaks Econnect Largest Online Education Community | ![]() If Y Sin Log X Then Prove That X 2 D 2y Dx 2 Dy Dx Y 0 Sarthaks Econnect Largest Online Education Community | ![]() If Y Sin Log X Then Prove That X 2 D 2y Dx 2 Dy Dx Y 0 Sarthaks Econnect Largest Online Education Community |
![]() If Y Sin Log X Then Prove That X 2 D 2y Dx 2 Dy Dx Y 0 Sarthaks Econnect Largest Online Education Community | If Y Sin Log X Then Prove That X 2 D 2y Dx 2 Dy Dx Y 0 Sarthaks Econnect Largest Online Education Community | If Y Sin Log X Then Prove That X 2 D 2y Dx 2 Dy Dx Y 0 Sarthaks Econnect Largest Online Education Community |
![]() If Y Sin Log X Then Prove That X 2 D 2y Dx 2 Dy Dx Y 0 Sarthaks Econnect Largest Online Education Community | ![]() If Y Sin Log X Then Prove That X 2 D 2y Dx 2 Dy Dx Y 0 Sarthaks Econnect Largest Online Education Community | ![]() If Y Sin Log X Then Prove That X 2 D 2y Dx 2 Dy Dx Y 0 Sarthaks Econnect Largest Online Education Community |
「Differentiate log x cos x」の画像ギャラリー、詳細は各画像をクリックしてください。
![]() If Y Sin Log X Then Prove That X 2 D 2y Dx 2 Dy Dx Y 0 Sarthaks Econnect Largest Online Education Community | ![]() If Y Sin Log X Then Prove That X 2 D 2y Dx 2 Dy Dx Y 0 Sarthaks Econnect Largest Online Education Community | ![]() If Y Sin Log X Then Prove That X 2 D 2y Dx 2 Dy Dx Y 0 Sarthaks Econnect Largest Online Education Community |
If Y Sin Log X Then Prove That X 2 D 2y Dx 2 Dy Dx Y 0 Sarthaks Econnect Largest Online Education Community | ![]() If Y Sin Log X Then Prove That X 2 D 2y Dx 2 Dy Dx Y 0 Sarthaks Econnect Largest Online Education Community | If Y Sin Log X Then Prove That X 2 D 2y Dx 2 Dy Dx Y 0 Sarthaks Econnect Largest Online Education Community |
![]() If Y Sin Log X Then Prove That X 2 D 2y Dx 2 Dy Dx Y 0 Sarthaks Econnect Largest Online Education Community | If Y Sin Log X Then Prove That X 2 D 2y Dx 2 Dy Dx Y 0 Sarthaks Econnect Largest Online Education Community | ![]() If Y Sin Log X Then Prove That X 2 D 2y Dx 2 Dy Dx Y 0 Sarthaks Econnect Largest Online Education Community |
「Differentiate log x cos x」の画像ギャラリー、詳細は各画像をクリックしてください。
![]() If Y Sin Log X Then Prove That X 2 D 2y Dx 2 Dy Dx Y 0 Sarthaks Econnect Largest Online Education Community | ![]() If Y Sin Log X Then Prove That X 2 D 2y Dx 2 Dy Dx Y 0 Sarthaks Econnect Largest Online Education Community | ![]() If Y Sin Log X Then Prove That X 2 D 2y Dx 2 Dy Dx Y 0 Sarthaks Econnect Largest Online Education Community |
If Y Sin Log X Then Prove That X 2 D 2y Dx 2 Dy Dx Y 0 Sarthaks Econnect Largest Online Education Community | ![]() If Y Sin Log X Then Prove That X 2 D 2y Dx 2 Dy Dx Y 0 Sarthaks Econnect Largest Online Education Community | ![]() If Y Sin Log X Then Prove That X 2 D 2y Dx 2 Dy Dx Y 0 Sarthaks Econnect Largest Online Education Community |
![]() If Y Sin Log X Then Prove That X 2 D 2y Dx 2 Dy Dx Y 0 Sarthaks Econnect Largest Online Education Community | ![]() If Y Sin Log X Then Prove That X 2 D 2y Dx 2 Dy Dx Y 0 Sarthaks Econnect Largest Online Education Community | ![]() If Y Sin Log X Then Prove That X 2 D 2y Dx 2 Dy Dx Y 0 Sarthaks Econnect Largest Online Education Community |
「Differentiate log x cos x」の画像ギャラリー、詳細は各画像をクリックしてください。
If Y Sin Log X Then Prove That X 2 D 2y Dx 2 Dy Dx Y 0 Sarthaks Econnect Largest Online Education Community | If Y Sin Log X Then Prove That X 2 D 2y Dx 2 Dy Dx Y 0 Sarthaks Econnect Largest Online Education Community | ![]() If Y Sin Log X Then Prove That X 2 D 2y Dx 2 Dy Dx Y 0 Sarthaks Econnect Largest Online Education Community |
If Y Sin Log X Then Prove That X 2 D 2y Dx 2 Dy Dx Y 0 Sarthaks Econnect Largest Online Education Community | ![]() If Y Sin Log X Then Prove That X 2 D 2y Dx 2 Dy Dx Y 0 Sarthaks Econnect Largest Online Education Community | ![]() If Y Sin Log X Then Prove That X 2 D 2y Dx 2 Dy Dx Y 0 Sarthaks Econnect Largest Online Education Community |
![]() If Y Sin Log X Then Prove That X 2 D 2y Dx 2 Dy Dx Y 0 Sarthaks Econnect Largest Online Education Community | ![]() If Y Sin Log X Then Prove That X 2 D 2y Dx 2 Dy Dx Y 0 Sarthaks Econnect Largest Online Education Community | If Y Sin Log X Then Prove That X 2 D 2y Dx 2 Dy Dx Y 0 Sarthaks Econnect Largest Online Education Community |
「Differentiate log x cos x」の画像ギャラリー、詳細は各画像をクリックしてください。
If Y Sin Log X Then Prove That X 2 D 2y Dx 2 Dy Dx Y 0 Sarthaks Econnect Largest Online Education Community | ![]() If Y Sin Log X Then Prove That X 2 D 2y Dx 2 Dy Dx Y 0 Sarthaks Econnect Largest Online Education Community | ![]() If Y Sin Log X Then Prove That X 2 D 2y Dx 2 Dy Dx Y 0 Sarthaks Econnect Largest Online Education Community |
![]() If Y Sin Log X Then Prove That X 2 D 2y Dx 2 Dy Dx Y 0 Sarthaks Econnect Largest Online Education Community | ![]() If Y Sin Log X Then Prove That X 2 D 2y Dx 2 Dy Dx Y 0 Sarthaks Econnect Largest Online Education Community | ![]() If Y Sin Log X Then Prove That X 2 D 2y Dx 2 Dy Dx Y 0 Sarthaks Econnect Largest Online Education Community |
![]() If Y Sin Log X Then Prove That X 2 D 2y Dx 2 Dy Dx Y 0 Sarthaks Econnect Largest Online Education Community | If Y Sin Log X Then Prove That X 2 D 2y Dx 2 Dy Dx Y 0 Sarthaks Econnect Largest Online Education Community | If Y Sin Log X Then Prove That X 2 D 2y Dx 2 Dy Dx Y 0 Sarthaks Econnect Largest Online Education Community |
「Differentiate log x cos x」の画像ギャラリー、詳細は各画像をクリックしてください。
![]() If Y Sin Log X Then Prove That X 2 D 2y Dx 2 Dy Dx Y 0 Sarthaks Econnect Largest Online Education Community | ![]() If Y Sin Log X Then Prove That X 2 D 2y Dx 2 Dy Dx Y 0 Sarthaks Econnect Largest Online Education Community | ![]() If Y Sin Log X Then Prove That X 2 D 2y Dx 2 Dy Dx Y 0 Sarthaks Econnect Largest Online Education Community |
![]() If Y Sin Log X Then Prove That X 2 D 2y Dx 2 Dy Dx Y 0 Sarthaks Econnect Largest Online Education Community | ![]() If Y Sin Log X Then Prove That X 2 D 2y Dx 2 Dy Dx Y 0 Sarthaks Econnect Largest Online Education Community | If Y Sin Log X Then Prove That X 2 D 2y Dx 2 Dy Dx Y 0 Sarthaks Econnect Largest Online Education Community |
![]() If Y Sin Log X Then Prove That X 2 D 2y Dx 2 Dy Dx Y 0 Sarthaks Econnect Largest Online Education Community | ![]() If Y Sin Log X Then Prove That X 2 D 2y Dx 2 Dy Dx Y 0 Sarthaks Econnect Largest Online Education Community | ![]() If Y Sin Log X Then Prove That X 2 D 2y Dx 2 Dy Dx Y 0 Sarthaks Econnect Largest Online Education Community |
「Differentiate log x cos x」の画像ギャラリー、詳細は各画像をクリックしてください。
If Y Sin Log X Then Prove That X 2 D 2y Dx 2 Dy Dx Y 0 Sarthaks Econnect Largest Online Education Community | If Y Sin Log X Then Prove That X 2 D 2y Dx 2 Dy Dx Y 0 Sarthaks Econnect Largest Online Education Community | ![]() If Y Sin Log X Then Prove That X 2 D 2y Dx 2 Dy Dx Y 0 Sarthaks Econnect Largest Online Education Community |
![]() If Y Sin Log X Then Prove That X 2 D 2y Dx 2 Dy Dx Y 0 Sarthaks Econnect Largest Online Education Community | If Y Sin Log X Then Prove That X 2 D 2y Dx 2 Dy Dx Y 0 Sarthaks Econnect Largest Online Education Community | ![]() If Y Sin Log X Then Prove That X 2 D 2y Dx 2 Dy Dx Y 0 Sarthaks Econnect Largest Online Education Community |
![]() If Y Sin Log X Then Prove That X 2 D 2y Dx 2 Dy Dx Y 0 Sarthaks Econnect Largest Online Education Community | ![]() If Y Sin Log X Then Prove That X 2 D 2y Dx 2 Dy Dx Y 0 Sarthaks Econnect Largest Online Education Community | ![]() If Y Sin Log X Then Prove That X 2 D 2y Dx 2 Dy Dx Y 0 Sarthaks Econnect Largest Online Education Community |
「Differentiate log x cos x」の画像ギャラリー、詳細は各画像をクリックしてください。
![]() If Y Sin Log X Then Prove That X 2 D 2y Dx 2 Dy Dx Y 0 Sarthaks Econnect Largest Online Education Community | ![]() If Y Sin Log X Then Prove That X 2 D 2y Dx 2 Dy Dx Y 0 Sarthaks Econnect Largest Online Education Community | ![]() If Y Sin Log X Then Prove That X 2 D 2y Dx 2 Dy Dx Y 0 Sarthaks Econnect Largest Online Education Community |
![]() If Y Sin Log X Then Prove That X 2 D 2y Dx 2 Dy Dx Y 0 Sarthaks Econnect Largest Online Education Community | ![]() If Y Sin Log X Then Prove That X 2 D 2y Dx 2 Dy Dx Y 0 Sarthaks Econnect Largest Online Education Community |
Get an answer for '`y = (e^x (cos(x))^2)/(x^2 x 1)` Use logarithmic differentiation to find the derivative of the function' and find homework help for other Math questions at eNotesNote that the function defined by y = x x is neither a power function of the form x k nor an exponential function of the form b x and the formulas of Differentiation of these functions cannot be used We need to find another method to find the first derivative of the above function If y = x x and x > 0 then ln y = ln (x x) Use properties of logarithmic functions to expand the right side of
Incoming Term: if x dy y x find dx, if y 3 cos log x, if y log10x then dy dx, if f x cos log x, if f x cos log x then, log x y log x log y, if y x x then dy dx, log x y formula, prove log xy log x log y, if y log sin log x, differentiate log x cos x, log x y solve for x,










































































コメント
コメントを投稿